ОРИГИНАЛЬНЫЕ СТАТЬИ
Введение. В структуре обращаемости к врачу-офтальмологу амбулаторного звена первое место занимают пациенты с воспалительной патологией глаз, составляя около 16 млн человек в год в Российской Федерации. Недостаточная эффективность местной фармакотерапии язвенных и дистрофических заболеваний роговицы и риск ее нежелательных явлений обусловливают поиск и разработку новых способов лечения данных заболеваний роговой оболочки, одним из которых является применение глазных лечебных ионообменных линз (ГЛИЛ).
Цель: оценить эффективность применения ГЛИЛ в комплексном лечении воспалительных и дистрофических заболеваний роговицы.
Материалы и методы. Клиническое исследование проведено среди 79 пациентов с заболеваниями роговицы (79 глаз) с 03.2024 по 04.2024 г. В зависимости от проводимого лечения все пациенты были разделены на основную группу и группу сравнения. В основную вошел 41 пациент – 26 с язвенным стромальным кератитом, 15 с буллезной кератопатией; в группу сравнения – 38 пациентов, из них 24 с язвенным стромальным кератитом, 14 с буллезной кератопатией. В основной группе на фоне фармакотерапии применяли «ГЛИЛ универсальные» 1–2 раза с интервалом 3–4 дня в зависимости от степени тяжести заболевания и динамики клинической картины. В группе сравнения проводили только местную фармакотерапию заболевания роговицы. При поступлении, а также через 1, 3, 7, 14 и 30 дней после применения ГЛИЛ всем пациентам проводили визометрию, авторефрактометрию, пневмотонометрию, биомикроскопию и оптическую когерентную томографию переднего отрезка больного глаза, непрямую бинокулярную офтальмоскопию, ультразвуковое исследование, пахиметрию. Срок наблюдения пациентов составил 1 месяц. Конечной точкой исследования являлась полная эпителизация язвенного дефекта у пациентов со стромальным кератитом, а также уменьшение толщины роговицы у больных с буллезной кератопатией.
Результаты. Применение ГЛИЛ в комплексном лечении язвенных кератитов в 1,8 раза ускоряет эпителизацию язвенного дефекта, сокращая срок госпитализации в 1,5 раза. Отмечено формирование меньшего по площади и интенсивности помутнения роговицы со стабильным улучшением зрительных функций в исходе заболевания. Комплексное лечение буллезной кератопатии с применением ГЛИЛ способствовало купированию роговичного синдрома и уменьшению отека роговицы с повышением ее прозрачности и восстановлением нормальной толщины. Это улучшило зрительные функции больного глаза в исследуемой группе по сравнению с курсом консервативного лечения данной патологии роговицы в контрольной группе.
Выводы. Использование ГЛИЛ в комплексном лечении заболеваний роговицы воспалительного и дистрофического генеза уменьшает сроки реабилитации пациентов, не вызывает осложнений и характеризуется отсутствием побочных эффектов, что позволяет рекомендовать их для использования в клинической практике.
Введение. Периферические дегенерации сетчатки (ПДС) являются одним из ключевых факторов риска регматогенной отслойки сетчатки, особенно у пациентов с миопией. Несмотря на накопленные данные, остаются неясными пороговые значения аксиальной длины и степени рефракционной ошибки, ассоциированные с прогностически опасными формами ПДС. Уточнение этих связей необходимо для оптимизации маршрутизации пациентов и принятия решений о профилактическом лечении.
Цель: оценить частоту ПДС, включая прогностически опасные формы, в зависимости от клинической рефракции, аксиальной длины глаза и возраста.
Материалы и методы. В ретроспективное исследование включены данные 75 пациентов (150 глаз), прошедших осмотр ретинолога в Национальном институте миопии в 2023 году. Всем пациентам проводили рефрактометрию, оптическую биометрию и офтальмоскопию бесконтактной линзой в условиях мидриаза. Для статистического анализа использовали линейные биномиальные модели с расчетом доверительных интервалов, относительных рисков и отношений шансов (ОШ).
Результаты. ПДС выявлены в 71,3 % глаз. Прогностически опасные формы (решетчатая дегенерация, дегенерация «след улитки») встречались в 6,7 % случаев, ретинальные разрывы – в 8,0 %. Частота ПДС была достоверно выше при большей аксиальной длине глаза (p = 0,001) и увеличении степени миопической рефракции (оценка ОШ = 0,73; p < 0,001). Частота решетчатой дегенерации возрастала с увеличением возраста (ОШ = 1,04; p = 0,018). Статистически значимой связи между прогностически опасными ПДС, величиной рефракционной ошибки и аксиальной длиной глаза не установлено. Астигматизм не продемонстрировал достоверной ассоциации с рисками ПДС.
Выводы. Отсутствие статистически значимых ассоциаций с прогностически опасными формами указывает на необходимость исследований с большей статистической мощностью, ориентированных на популяцию пациентов с выявленными клинически значимыми ретинальными дегенерациями.
Введение. Рефрактогенез роговицы определяется внутриглазным давлением (ВГД), формирующим профиль переднего сегмента глаза. Изменения прочности роговицы при кератоэктазиях и вследствие лазерных вмешательств снижают ее сопротивляемость и нарушают баланс «ригидность роговицы / уровень ВГД», отрицательно влияя на развитие и прогрессирование кератоэктазии.
Цель: оценить характер локальных изменений топографии роговицы при изменении баланса «ригидность роговицы / уровень ВГД» у больных кератоконусом.
Материалы и методы. Из 96 пациентов было сформировано 4 группы. В 1-й группе (31 пациент / 62 глаза без офтальмопатологии) определяли разброс основных топографических показателей; во 2-й группе (сравнения) – 23 человека (46 глаз) без патологии роговицы; в 3-й группе – 21 человек (42 глаза) с верифицированным диагнозом кератоконус (I–III стадии); 4-я группа – 21 человек (40 глаз), обследованные через месяц после лазерной коррекции зрения (LASIK, SMILE). Всем пациентам была проведена вакуум-компрессионная проба (ВКП) с регистрацией изменений кератотопографических индексов до и во время кратковременного индуцированного повышения ВГД.
Результаты. При повышении ВГД во 2-й группе отмечено локальное круговое выбухание на периферии роговицы. При ВКП в группе 3 с кератоконусом происходило уплощение апекса роговицы, периферия при компрессии всегда показывала свое выпячивание. На фоне нагрузки во 2-й и 3-й группах достоверно увеличивается ВГД (p < 0,05). При увеличении ВГД на 13,2 ± 0,9 мм рт. ст. (уровень вакуума – 80 мм рт. ст.) в группе 3 наблюдали снижение значений корнеального гистерезиса (КГ) на 4,1 ± 0,8 мм рт. ст. В контрольной группе КГ снижался на 2,4 ± 1,5 мм рт. ст. В 4-й группе баланс «прочность ткани / уровень ВГД» нарушался вследствие формирования локальной клинически незначимой эктазии по краю клапана.
Заключение. Повышение ВГД у всех пациентов вызывает деформацию роговицы с укручением ее в средней периферии. Это указывает на наличие зон с пониженной ригидностью. Нарушение структуры роговицы вследствие лазерных операций с целью коррекции зрения ослабляет роговицу в области между оптической зоной и лимбом, вызывая деформации преимущественно по периферии. Это может играть отрицательную роль в развитии или прогрессировании кератоэктазии.
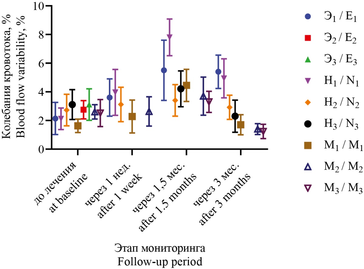
Актуальность. Высокая распространенность демодекозного блефарита определяет актуальность изучения микроциркуляции (МЦ) век. Лазерная доплеровская флоуметрия (ЛДФ) позволяет объективно оценить ее изменения на фоне терапии.
Цель – оценить динамику изменений микроциркуляции кожи век на фоне акарицидной терапии для объективного мониторинга ее эффективности.
Материалы и методы. Под наблюдением находились 48 пациентов (96 глаз), средний возраст 64,7 ± 5,1 года, с хроническим смешанным демодекозным блефаритом, которые были разделены на 3 равные группы по 16 человек (32 глаза). Всем пациентам было проведено стандартное офтальмологическое обследование, анкетирование SPEED (Standard Patient Evaluation of Eye Dryness) для оценки симптомов и объективизации жалоб, а также лабораторное исследование век на наличие клещей рода Demodex. Лечение пациентов 1-й группы включало применение космецевтика, содержащего экстракт полыни, и инстилляции слезозаменителя с липидным компонентом 3 раза в день 1,5 месяца. Во 2-й группе на фоне инстилляций слезозаменителя применяли косметический крем для век, содержащий производное 2-метилнитроимидазола, в 3-й группе – гель для век, содержащий сульфоконцентрол. Параметры МЦ кожи век оценивали методом ЛДФ. Контрольные осмотры проводили через 1 неделю, 1,5 и 3 месяца после начала терапии.
Результаты. Уже через 7 дней после лечения изменения в 1-й группе были более значительными, чем во 2-й и 3-й группах, в которых они характеризовались уменьшением вклада пассивных регуляторных механизмов МЦ. Гель, содержащий экстракт полыни, оказал противовоспалительное и стимулирующее действие на кровообращение век. Понижение показателя шунтирования указывало на уменьшение скорости движения кровотока по артериоло-венулярным анастомозам и степень ишемизации ткани с одновременным умеренным повышением вазомоторной микрососудистой активности. Сохранение компенсаторных процессов МЦ отражалось в высокой модуляции кровотока и лимфотока. Данные изменения МЦ сопровождались улучшением качества жизни пациентов в 1-й и 2-й группах (по результатам анкетирования) и уменьшением демодекозной инвазии век в 1-й группе. Динамическое наблюдение показало умеренную активацию тканевого метаболизма и напряженности функционирования регуляторных систем микроциркуляции с выраженным снижением степени ишемии исследуемой ткани в 1-й группе. Во 2-й и 3-й группах роль активных механизмов регуляции МЦ была снижена.
Заключение. Консервативное лечение смешанного демодекозного блефарита влияет на изменение микроциркуляции век, что обусловливает важность мониторинга ее состояния, особенно в качестве оценки эффективности проводимой терапии.
Введение. «Моновидение» представляет собой хорошо зарекомендовавший себя метод коррекции пресбиопии, при котором доминирующий глаз обычно корректируется для зрения вдаль, а недоминирующий – для зрения вблизи. Изначально разработанная для коррекции зрения с помощью контактных линз, эта методика впоследствии была адаптирована для применения в рефракционной хирургии. На сегодняшний день способ коррекции пресбиопии у миопов по принципу «моновидение» при выполнении лазерной коррекции зрения методом рефракционной экстракции лентикулы CLEAR не был выявлен, что обусловливает актуальность выбранной темы.
Цель: оценка функциональных результатов «моновидения» после экстракции лентикулы у пациентов с миопией в пресбиопическом возрасте.
Материалы и методы. В исследовании принимали участие 20 пациентов – 2 группы по 20 глаз в каждой. Средний возраст составил 40,6 ± 2,7 года. Работа выполнена на базе отдела лазерной рефракционной хирургии ФГАУ НМИЦ «МНТК “Микрохирургия глаза” им. академика С. Н. Федорова» Минздрава России в период с июля по декабрь 2024 г. В первой группе проводили операцию методом CLEAR (Corneal Lenticule Extraction for Advanced Refractive Correction) по технологии «моновидение», при которой на неведущем глазу остаточная миопия составляла от –1,25 до –1,75 дптр. Во второй группе проводили стандартную операцию методом CLEAR. Все пациенты имели миопию слабой и средней степени, максимально корригированную остроту зрения не менее 1,0. Перед операцией все пациенты проходили моделирование послеоперационной остроты зрения мягкими контактными линзами и комплексное офтальмологическое обследование, у всех определяли бинокулярность зрения. В ходе операции в обеих группах использовали фемтосекундный лазер FEMTO LDV Z8 (Ziemer, Швейцария). До и после операции всем пациентам проводили оценку остроты зрения вдаль и вблизи, определяли характер зрения и поля зрения. Период наблюдения составил 3 месяца.
Результаты. Некорригированная острота зрения (НКОЗ) после операции в первой группе повысилась на обоих глазах, но была несколько ниже на неведущем глазу (0,98 и 0,76 соответственно); во второй группе повысилась на обоих глазах (0,99 и 0,96 соответственно). Целевая рефракция без потери максимальной корригированной остроты зрения (МКОЗ) была достигнута во всех случаях и была стабильна, данные НКОЗ, МКОЗ и сферического эквивалента рефракции практически не отличались в течение всего срока наблюдения. Остроту зрения вблизи оценивали бинокулярно: до операции с максимальной коррекцией для дали, после операции – без коррекции. НКОЗ вблизи после операции в первой группе при технологии «моновидение» повысилась до 0,99–1,0, во второй группе составила лишь 0,37. Бинокулярное зрение сохранялось у всех пациентов, поля зрения соответствовали нормальным показателям до и после операции во всех случаях на всем периоде наблюдения.
Заключение. Рефракционная экстракция лентикулы методом CLEAR с применением технологии «моновидение» обеспечивает после операции высокую остроту зрения вдаль и вблизи у пациентов пресбиопического возраста, а также сохраняет бинокулярное и периферическое зрение.
Актуальность. Сердечно-сосудистые заболевания (ССЗ) являются ведущей причиной смертности в мире. Особую значимость представляет ранняя диагностика и стратификация риска у лиц без клинически выраженной патологии. Параметры микроциркуляции сетчатки, измеренные методом оптической когерентной томографии с ангиографией (ОКТА), рассматриваются как перспективные неинвазивные биомаркеры субклинической сосудистой дисфункции.
Цель: оценить диагностическую ценность параметров микроциркуляции сетчатки в выявлении микрососудистых изменений у лиц без установленной сердечно-сосудистой патологии и их связь с уровнем сердечно-сосудистого риска.
Материалы и методы. В исследование включены 220 пациентов (35–65 лет) без признаков ССЗ. Всем участникам проведено клинико-лабораторное обследование, расчет риска по шкале SCORE2, ОКТА сетчатки с количественной оценкой сосудистых параметров.
Результаты. У пациентов с умеренным и высоким уровнем риска выявлено снижение плотности и длины сосудов в макулярной зоне, увеличение площади и индекса неокруглости фовеолярной аваскулярной зоны, а также расширение зон отсутствия кровотока в хориокапиллярном слое. Отмечена статистически значимая корреляция между параметрами ОКТА и артериальным давлением, липидным спектром и SCORE2.
Заключение. Показатели ОКТА обладают высокой прогностической ценностью для оценки субклинической сосудистой дисфункции. Их применение может способствовать раннему выявлению микрососудистых нарушений и более точной стратификации сердечно-сосудистого риска у лиц без клинических проявлений патологии.
Представлен клинический случай 6-летнего наблюдения за пациенткой, впервые обратившейся в возрасте 15 лет, использующей ортокератологическую коррекцию в качестве метода контроля миопии. Данные визометрии при обращении: OD = 0,1 со sph –2,5 дптр = 1,0; OS = 0,3 со sph –1,25 дптр = 1,0. Через 5 лет ношения кастомизированных ортокератологических линз (ОКЛ) фирмы OKVision у пациентки было отмечено уменьшение переднезадней оси (ПЗО) глаза на правом глазу на 0,39 мм, на левом – на 0,28 мм. Изменение ПЗО сопровождалось снижением миопической рефракции на 1,0 дптр на обоих глазах. Наблюдаемое снижение показателей ПЗО не может быть объяснено увеличением толщины сосудистой оболочки и/или уменьшением толщины роговицы в центральной зоне и требует дальнейшего изучения. Влияние методов контроля миопии и аккомодации на изменение показателей аксиальной длины глаза до конца не изучено и требует дальнейшего исследования с внедрением в стандарты обследования пациентов оценки аккомодационных нарушений и толщины сосудистой оболочки глаза.
ОБЗОРНЫЕ СТАТЬИ
Фибротические изменения фильтрационной зоны после антиглаукоматозной хирургии остаются ключевым фактором неудач после операции, что стимулирует разработку многоуровневых профилактических стратегий.
Целью настоящего обзора являются обобщение и критическая оценка современных методов предупреждения и контроля послеоперационного фиброза, включая хирургические подходы, физико-биологические барьеры, нанотехнологические покрытия, а также генные и клеточные технологии.
Материал и методы. В обзор включены 30 научных публикаций за последние 10 лет, отобранных из баз данных PubMed, Scopus и Web of Science. Анализу подверглись работы, посвященные механизмам репарации после хирургии глаукомы, стратегиям профилактики фиброза и перспективным биомедицинским технологиям.
Результаты. Обзор современных методов оптимизации хирургической техники показывает, что применение регулируемых швов, дренажных устройств Ahmed и Baerveldt, а также микроинвазивных имплантов (iStent, Hydrus, XEN Gel Stent) способствует снижению воспаления, равномерному распределению оттока внутриглазной жидкости и подавлению фибробластной активности. Микроинвазивные технологии демонстрируют хорошие клинические результаты у пациентов с ранними стадиями глаукомы, в то время как дренажные устройства обеспечивают более устойчивое снижение внутриглазного давления у пациентов с высоким риском фиброза. Антиадгезивные мембраны и нанопокрытия на основе титана или серебра эффективно предотвращают адгезию клеток и обладают дополнительными противовоспалительными и антибактериальными свойствами. Генная терапия и мезенхимальные стволовые клетки демонстрируют высокую потенцию в подавлении фиброза на доклиническом уровне, однако требуют дальнейших исследований по безопасности и эффективности. Наиболее близкими к практическому применению являются антипролиферативные гели и импланты с физическими барьерами, обеспечивающие пролонгированную защиту фильтрационной зоны после операции.
Заключение. Современные технологии профилактики послеоперационного фиброза при хирургии глаукомы демонстрируют различную степень зрелости: от клинически внедренных до находящихся на стадии доклинических исследований. Наиболее обоснованными для применения в практике являются микроинвазивные дренажные устройства, антиадгезивные покрытия и физические барьеры, тогда как клеточные и генные технологии требуют дополнительных доказательств эффективности и безопасности.
Существенную часть офтальмологической патологии составляют проявления общих или системных заболеваний. Болезни пародонта относятся к числу наиболее распространенных заболеваний человека и первой причины потери зубов у взрослых. В начале XXI века сформировалась концепция «пародонтальной медицины», рассматривающая взаимосвязи патологии пародонта с системными заболеваниями организма. Несмотря на анатомическую близость глаз и полости рта, взаимосвязь между заболеваниями глаз и болезнями пародонта, возможные механизмы этой связи в отечественной литературе не рассматриваются. Цель представленного обзора – обобщение имеющихся данных о коморбидности глазных болезней и патологии пародонта. Мы провели поиск в информационных базах Pubmed и Scopus источников, опубликованных за период 01.01.2011 до 23.02.2025 г., в которых рассматривалась эта взаимосвязь. В итоговый обзор были включены 44 статьи. Результаты эпидемиологических и клинических исследований, рассмотренных в обзоре, позволяют предполагать наличие коморбидности между рядом глазных болезней (возрастная макулярная дегенерация, диабетическая ретинопатия, катаракта, глаукома, синдром сухого глаза, увеит) и патологией пародонта. К возможным механизмам этой связи относятся: гематогенная транслокация пародонтопатических микроорганизмов и медиаторов воспаления, взаимодействие по оси «рот – кишечник – глаз» и непрямое, опосредованное взаимодействие в рамках мультиморбидности по треугольникам «рот – кардиометаболическое заболевание – глаз» и «рот – иммуноопосредованное заболевание – глаз». Представленный обзор демонстрирует необходимость проведения дальнейших проспективных исследований для уточнения взаимосвязи между широко распространенными и серьезными заболеваниями глаз с патологией пародонта. Обзор подчеркивает важность междисциплинарных подходов в понимании системных последствий заболеваний пародонта и их потенциального влияния на здоровье глаз.
ТЕХНОЛОГИИ В ОБРАЗОВАНИИ
Введение. Статья посвящена анализу учебного процесса подготовки ординаторов-офтальмологов в Научно-исследовательском институте глазных болезней имени М.М. Краснова (далее – Институт Краснова). Практика симуляционного образования является оптимальным и эффективным способом подготовки врачей. Обучение на основе симуляции появилось в последние десятилетия и следует поэтапному подходу, начиная с базовых навыков, переходя к процедурному тренингу, завершающемуся обучением команды в аутентичной среде. Симуляция используется для развития конкретных и специальных навыков, практики, овладения обучением и быстрого получения знаний.
Целью данной статьи является оценка и изучение возможности интеграции модуля работы на симуляторе в учебную программу подготовки ординаторов.
Методы. Существует несколько моделей проектирования учебных программ. В данной статье варианты моделирования учебной программы представлены для анализа, проектирования, разработки, внедрения и оценки. Модуль с использованием хирургического симулятора EYESI представляет собой интегративную учебную разработку. Имеются достаточные доказательства того, что имитационное обучение улучшает индивидуальную и командную производительность обучения, положительно влияет на уверенность в себе, знания и операционную производительность. Практика применения модуля с использованием симулятора позволяет развивать процедурную имитацию и дебрифинг среди обучающихся и далее перенести навыки на операционную производительность в клинических условиях. В исследовании использован метод поэтапного формирования мышления, метод моделирования. Первый этап направлен на определение технических процедур, которые ординаторы должны уметь выполнять компетентно при завершении специализированного высшего образования; второй этап – на изучение характеристики каждой процедуры, включая частоту, количество операторов, риск или дискомфорт для пациентов, осуществимость обучения на основе симуляции; третий этап – на рассмотрение рейтинга процедур.
Результаты. Исследования значительно различались по подходам и анализу, и результаты оказались неоднозначными. Хотя некоторые работы демонстрируют преимущества симуляции в процедурной подготовке ординаторов, необходимы дополнительные исследования для оценки эффективности симуляции как образовательного инструмента. Цели будущего изучения симуляции должны включать создание валидированных инструментов оценки и применение полученных навыков к результатам лечения пациентов.
Выводы. Рассмотренные знания, навыки можно учесть при составлении симуляционного модуля в учебной программе подготовки ординаторов в области офтальмологии для повышения уровня профессиональной компетентности и специальной медицинской подготовки врача.
ТЕХНОЛОГИИ
С расширением ассортимента многофункциональных растворов (МФР) для ухода за контактными линзами (КЛ) большое значение приобретает обеспечение потребителей продукцией, гарантирующей качество и безопасность при использовании. При ношении КЛ происходит их загрязнение продуктами слезы и внешней среды. В данной статье рассмотрены основные характеристики компонентов, входящих в состав многофункциональных растворов, обеспечивающих очистку, дезинфекцию, увлажнение и хранение КЛ.
ПРАКТИКУМ
Синдром сухого глаза (ССГ) – распространенное и недооцененное заболевание глазной поверхности. Ведение пациентов осложняется разной оснащенностью кабинетов, отсутствием единого алгоритма и разрозненными подходами к диагностике и лечению. В статье представлена концепция «Колеса ССГ» – пошаговый алгоритм, который можно адаптировать к любому уровню ресурсов: от оптики до специализированной клиники. Описаны ключевые элементы модели, основанной на инициативе World Council of Optometry (WCO) «Dry Eye Wheel», а также проверенные клинические инструменты: опросники (OSDI), тесты стабильности слезной пленки, методы окрашивания, оценка осмолярности, морганий, высоты слезного мениска и мейбография. Показан маршрут ведения пациента – от скрининга и простых функциональных проб до уточняющей диагностики и определения типа ССГ (вододефицитный, эвапоративный, смешанный), завершающийся персонализированным лечением и динамическим контролем. Стандартизированный подход по модели «Колесо ССГ» делает диагностику и лечение последовательными и понятными, сокращает время на принятие решений и улучшает качество жизни пациентов.
МЕДИЦИНА И ЗАКОН
ЧТО? ГДЕ? КОГДА?
13 и 14 ноября в Москве в шестнадцатый раз состоялся симпозиум «Осенние рефракционные чтения – 2025». В этом году к хорошо узнаваемому названию конференции впервые была добавлена вторая часть: «Офтальмология на высоте». Формулировка предполагала отсылку не только к новой площадке форума, но и к целевому уровню мероприятия. Симпозиум впервые проходил в золотой башне «Москва-Сити» в пространстве Mercury Space на высоте 177 метров с впечатляющими панорамными видами на столицу. Новая локация с порога задавала современную и динамичную атмосферу события.
ISSN 2686-8083 (Online)





















